Zach Ephron

August 19, 2025

Important information about affirmations to help stop submetering

Dear Roosevelt Landings Neighbor,

Your tenant association is hard at work collecting the information we need to stop the landlord's insane attempt to sub-meter our building. They're planning to give us a meager  roll-back that only covers a small portion of each resident's bill, and they will make a wind-fall profit by overcharging us per kilowatt hour. Your electric bill will become "added rent." This means that non-payment will be used to evict you. 

We are currently knocking on doors throughout the building to get "Affirmations" signed. These documents will represent our case to judges who can put an end to this sub-metering nightmare!

Not only is the landlord's plan unscrupulous, they are also flaunting the regulations of the Public Service Commission by failing to provide shadow bills at least 4 months prior to submetering. No one throughout the building has received a shadow bill, yet the landlord states they will charge for electricity on September 1. This is one of several regulations they are failing to follow. 

Building captains and volunteers are knocking on doors to collect "Affirmations" but we can't knock on every single door throughout the building. It's up to YOU to make your voice heard!

If you've yet to sign an "Affirmation," please use the attachment to do so. Please complete it and slip it under my door at 540/1604 by Thursday, 8/21. Also, you can help by speaking with your neighbors and asking them to sign a copy. 


Be aware, the landlord is restricted by law from creating a problem for you by your cooperating with this effort! Your home is at risk if management sub-meters. Your home is NOT AT RISK if you attempt to stop them!

If we missed you, if you are unable to complete the affirmation on your own, or if you need help getting it done, we will hold  a meeting in the 12th floor lounge in 546 Main Street at 7 PM this Friday, 8/22. 

Your cooperation with this effort is VITAL to prevent your apartment from being submetered! 

Yours in solidarity!

Joyce 

Joyce Short
President 
Roosevelt Landings Residents Association (RLRA)
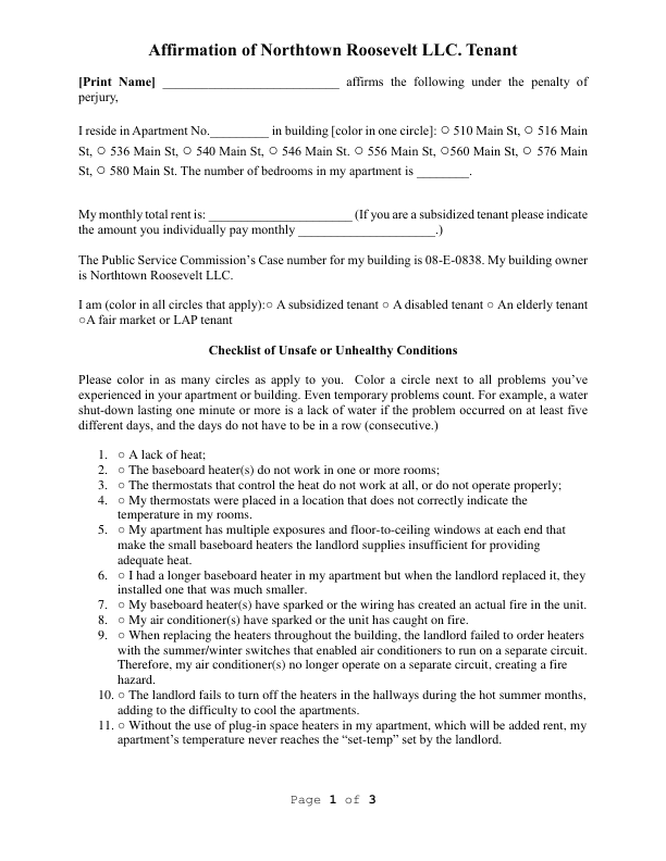
Affirmation of Tenant for  Roosevelt Landings.pdf
Affirmation of Tenant for Roosevelt Landings.pdf 282 KB


About Zach Ephron

This is the official email list for the Roosevelt Landings Residents Association. To contact us, please email us by clicking this link.

Please enter your email address below to get all new updates to your inbox.